2024年铜山区初中学校享受指标生加分考生名单出炉

2024-07-03 23:07:03 来源:铜山发布

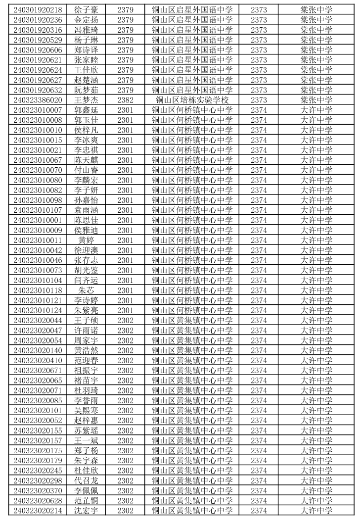
刚刚,大铜从区教育局获悉

2024年铜山区初中学校

享受指标生加分考生名单出炉

一起来关注

编辑:张洁

审核:韩旭东

相关推荐